[Karar]
2014 yılında İsrail'in Gazze'ye düzenlediği ve iki bin 200 kişinin öldüğü hava saldırılarından sonra Birleşmiş Milletler (BM) tarafından Filistinlilere yapılan yardımlar için oluşturulan veritabanının, İsrail tarafından Gazze'de hedef belirlemek için kullanılabileceği yönünde uzmanlar tarafından yapılan uyarıların BM tarafından dikkate alınmadığı ortaya çıktı.
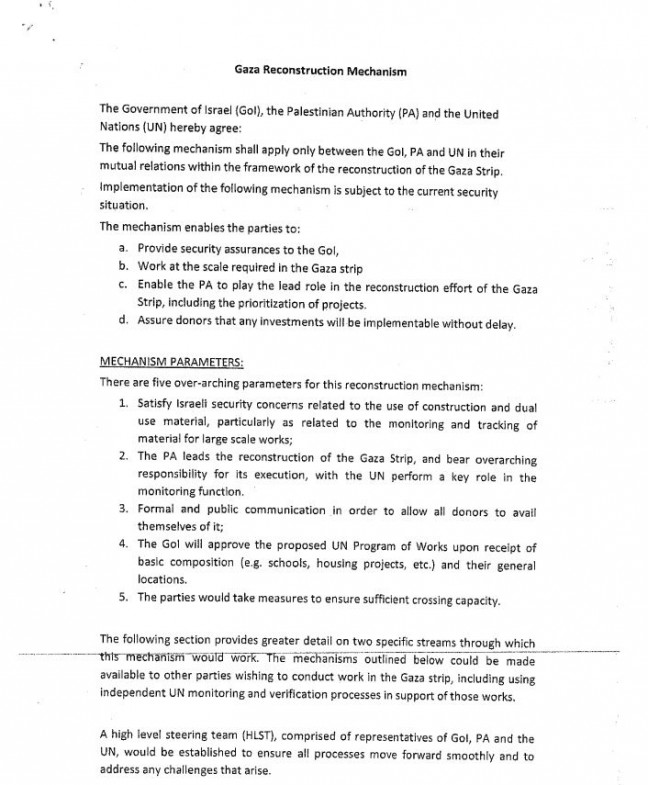
İsrail'in bir ay süren saldırıları sonucu 24 bin ev yıkılmış ve ciddi düzeyde hasar görmüş, 146 bin hane hafif hasar almıştı. Bunun üzerine BM'nin öncülüğünde, İsrail ve Filistin yönetimlerinin de katılımıyla Filistin'i Yeniden İnşa Mekanizması (GRM) kurulmuştu.

İsrail'in saldırılarına bir ayda iki binden fazla Filistinli ölmüştü.
BM, İsrail'in suçlarına ortaklık ediyor
Filistin merkezli Elctronic Intifada sitesinin ele geçirdiği belgelere göre Nottingham Üniversitesi'nden hukuk profesörü Nigel White, "2007 yılında başlayan ambargonun uygulanması da dahil olmak üzere BM'nin, İsrail'in suçlarına faal bir şekilde katılmaya başladığı" uyarısında bulundu. Notthingham Uluslararası Hukuk ve Güvenlik Merkezi Eş Başkanı ve BM hukuku alanında dünyanın sayılı uzmanlarından biri olarak gösterilen White, GRM belgeleri hakkında şu ifadeleri kullanıyor:
"GRM yasadışıdır ve Filistinlilerin yaşam hakkını ihlal ediyor. BM, GRM'nin bir tarafı olarak ablukanın sürdürülmesiyle birlikte yardım ve destek konularında uluslararası hukukun ihlaline katkıda bulunuyor."

"BM, İsrail'in suçlarına ortak oluyor."
İsrail, BM'nin veritabanını hedef belirlemek için kullanabilir
White, GRM şartlarına göre oluşturulan Filistinlilere ait veritabanının, "İsrail tarafından hedef belirlemek için kötüye kullanılması" ihtimali nedeniyle BM'nin Filistinlilerin yaşam hakkını ihlal ettiğini belirtiyor.

Prof. Nigel White
Electronic Intifada'nın haberinde, GRM hakkında White'a danışan kuruluş olan Diakonia Uluslararası İnsani hukuk Kaynakları Merkezi'nin, White'ın yaptığı analizi kamuoyuna duyurmadığı ifade ediliyor. Diakonia'nın, İsveç ve İsviçre hükümetleri tarafından finanse edildiği belirtiliyor.
*GRM ile Prof. White'ın analizini Electronic Intifada'da bulabilirsiniz.
