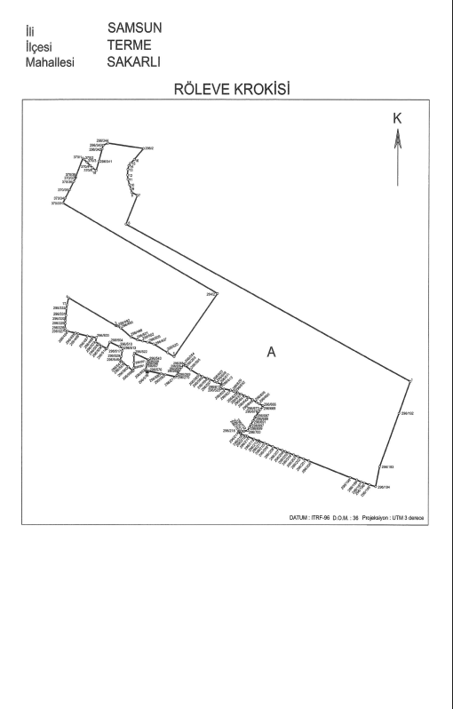
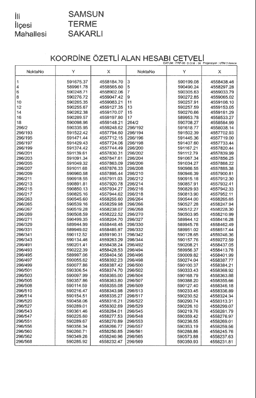
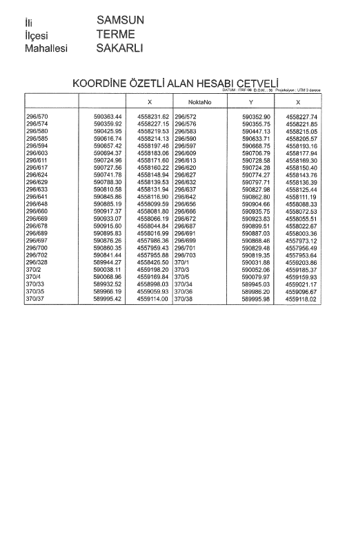
Cumhurbaşkanı Recep Tayyip Erdoğan’ın imzasıyla Resmî Gazete’de yayımlanan karar, Samsun ve Zonguldak’taki bazı alanların orman sınırlarının dışına çıkarılmasını ve İstanbul Büyükçekmece’deki bir bölgenin “Özel Endüstri Bölgesi” olarak ilan edilmesini öngörüyor.
Buna göre, İstanbul’daki alan “Fırat Plastik Kauçuk Sanayi ve Ticaret AŞ İstanbul Özel Endüstri Bölgesi” olarak tescillendi. Karar ekinde bölgeye ilişkin harita ve koordinatlar da paylaşıldı.
Orman sınırları dışına çıkarılan Samsun ve Zonguldak’daki alanlarda ise devletin hüküm ve tasarrufu altında ya da Hazineye ait taşınmazlardan, Orman Genel Müdürlüğü aracılığıyla yeni orman tesisleri kurulacak. Bu düzenleme, çevre ve sanayi politikaları açısından kritik bir adım olarak değerlendiriliyor. İşte Cumhurbaşkanı Recep Tayyip Erdoğan’ın imzaladığı karar:










