Yüksek Seçim Kurulu'nun (YSK) İstanbul seçimlerini iptal eden kararıyla ilgili açıklanan gerekçelerin tartışması sürüyor.
CHP Genel Başkan Yardımcısı Muharrem Erkek, YSK'nın verilerine göre İstanbul seçimlerinin iptal edilmesine gerekçe gösterilen sandıklardan Binali Yıldırım’ın birinci çıktığını açıkladı.
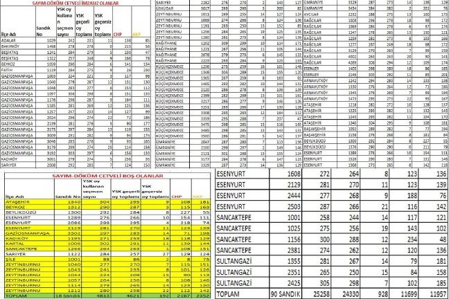
Erkek'in verdiği bilgilere göre "KHK'lı sandık başkanı, boş cetveller" gibi gerekçelerle 'usulsüzlük' iddialarına konu olan sandıklardan çıkan sonuçlar şöyle:
'ŞAİBELİ SANDIKLAR'DAN YILDIRIM BİRİNCİ ÇIKTI
"KHK'LI SANDIKLAR": KHK’lı sandık kurulu başkanı ve sandık kurulu üyelerinin bulunduğu 9 sandıkta Yıldırım birinci oldu. Bu sandıklarda Ekrem İmamoğlu’na bin 188 oy, Binali Yıldırım’a ise bin 233 oy çıktı.
BOŞ CETVELLER: Seçim iptal gerekçesi olan boş sayım döküm cetveli olan 18 sandığa ilişkin sonuçlar da CHP 2 bin 167, AK Parti 2 bin 352 oy aldı. Yıldırım söz konusu 18 sandığın 14’ünde birinci. İmamoğlu ise 4 sandıkta en çok oyu alan aday oldu.
İMZASIZ SAYIM: Seçimin iptal gerekçelerinden biri olan imzasız sayım döküm cetvellerinin bulunduğu 90 sandığın tamamı YSK verilerine göre incelendiğinde CHP’nin söz konusu sandıklardan toplam 11 bin 699 oy aldığı, AKP’nin ise bu sayıyı geçerek 11 bin 957 oy aldığı belirlendi.

