27 Aralık 2025 Cumartesi
Altın 6251.616 %0.04
BIST 11294.37 %0,37
Dolar 42.8797 %0.01
Euro 50.4894 %0.01
KARAR
4°
İstanbul
Çok bulutlu
  • Güncel
  • Yazarlar
  • Dünya
  • Ekonomi
  • Kripto Para
  • Spor
  • Hayat
  • Karar Video
  • Görüşler
  • Resmi İlanlar
Foto Galeri
Hayat
Capsler
Spor
Teknoloji
Nostalji
Gündem
Ekonomi
Kültür Ve Sanat
SON DAKİKA :
Bahçeli, 1958 model aracını hediye etti
Meteoroloji'den 38 ilde sarı ve turuncu alarm: Kar 20 santimi bulabilir
İstanbul Valisi Gül'den soğuk hava uyarısı: Sokakta kalanlar için 112 çağrısı
İstanbul Valisi Gül'den soğuk hava uyarısı
Ali Palabıyık'tan 'bahis' iddialarına ilk cevap: Hayatımda hiç oynamadım
Davutoğlu'ndan iktidara 'Somaliland' uyarısı: 7 maddelik acil eylem planı
CHP'li Tanrıkulu'ndan Humus'taki cami saldırısına tepki: İnsanlığa karşı nefret suçu
Gençlere yardım etmek istediler ama dolandırıldılar! ‘Bu kadar da olmaz’ dedirten olay: Sokakta yürürken dikkat edin
DEM Parti'den Suriye'deki cami saldırısına kınama: Şiddeti ve mezhepçi saldırıları reddediyoruz
Başarır’ın enflasyon sözleri mahkemeye taşınmıştı: TÜİK’in açtığı dava reddedildi
  1. Anasayfa
  2. Foto Galeri
  3. Spor
  4. Phelps gibi yüzmenin formülü
17/08/2016 21:33

Phelps gibi yüzmenin formülü

Michael Phelps gibi yüzebilmek için neler gerekiyor? Sadece güçlü kollar ve mükemmel bir kondisyon mu? Bunlar yüzmek için hayati öneme sahip olsa da yüzücülerin alt etmesi gereken başka bir şey daha var: sürtünme kuvveti.

Phelps gibi yüzmenin formülü 1
1/20

Michael Phelps gibi yüzebilmek için neler gerekiyor? Sadece güçlü kollar ve mükemmel bir kondisyon mu? Bunlar yüzmek için hayati öneme sahip olsa da yüzücülerin alt etmesi gereken başka bir şey daha var: Sürtünme kuvveti.

Phelps gibi yüzmenin formülü 2
2/20

Kulaç attığınız zaman, suyun nasıl karşı koyduğunu hissedebilirsiniz. Bu dirence fizikte hidrodinamik sürtünme deniyor. Yüzücüler her kulaç attığında su onu geriye itmek için sahip olduğu kütlesel gücü kullanıyor.

Phelps gibi yüzmenin formülü 3
3/20

Rio'da kazandığı üç altın madalyayla toplam altın madalya sayısını 21'e çıkartan Micheal Phelps gibi şampiyonalara hazırlanan yüzücüler antremanlarını yeniden şekillendiriyor. Sürtünme kuvvetinin olumsuz etkilerini azaltmak ve olumlu etkilerini artırmak isteyen sporcular durmadan yüzme, dalış, kulaç atma vb. hareketlerini değiştiriyor.

Phelps gibi yüzmenin formülü 4
4/20

Sürtünme kuvvetinin yüzmeye nasıl bir etkisi olduğunu anlatmadan önce, yüzme eylemi esnasında ortaya çıkan potansiyel kuvvetlerden bahsedelim. Yüzme temel olarak dört prensip üzerinden ilerleyen bir süreçtir;

Phelps gibi yüzmenin formülü 5
5/20

Yüzücülerin kulaçları ve ayak vuruşları sayesinde yaratılan itme kuvvetine, sürtünme kuvveti karşı koyar. Modern zamanda yüzücüler daha çok kulaç ve güçlü kondisyonla beraber aynı zamanda doğanın yasalarına göre antreman yapıyorlar. Peki bu sürtünme kuvvetinin etkileri nasıl azaltılabilir bunun için öncelikle formüllere bakmak gerekiyor.

Phelps gibi yüzmenin formülü 6
6/20

1- Yer çekimi kuvveti: Aşağıya yönelik olarak uygulanan bu kuvvet yüzücünün kitlesine bağlıdır

Phelps gibi yüzmenin formülü 7
7/20

2- Suyun kaldırma kuvveti; Su yüzücüyü, yukarıya doğru iterek başlangıçta yüzücünün hacmiyle yer değiştiren su miktarını dengelemeye çalışır. Eğer yüzücü yüzeyde kalırsa kaldırma kuvvetinin büyüklüğü yer çekimi kuvvetine eşit olur.

Phelps gibi yüzmenin formülü 8
8/20

3- İtme kuvveti: Bu kuvvet adından da anlaşılacağı gibi yüzücüyü ileriye doğru iten kuvvetin adıdır. Söz konusu yüzme olduğu için bu kuvveti yüzücünün kulaçları ve ayak vuruşları ortaya çıkarır.

Phelps gibi yüzmenin formülü 9
9/20

4- Sürtünme kuvveti: Yüzücü her ileriye atıldığında suya bir kuvvet uygular, fizik yasaları gereği su da bu kuvvete karşı koyar. Suyun yüzücüyü geri itmesine sürtünme kuvveti adı verilir, bu kuvvet yüzücünün yapısına ve hızına göre değişkenlik gösterir.

Phelps gibi yüzmenin formülü 10
10/20

Formülde F (kuvvet), p (su), A (kesit alanı) C (sürtünme katsayısı) son olarak v (hacim) anlamına geliyor. Yüzme işlemi suyun içerisinde yapıldığı için pformülde değişmez değerlerden biri olarak kabul görür, kesit alanı da yine aynı şekilde müdahaleye çok fazla açık değildir.

Yüzücünün vücut yapısı antremanlarla değiştirilebilir ama bunun sağlayacağı fayda oldukça az olacaktır. Ancak suya dalma şekli ve suyun içerisinde vücudun pozisyonu bu noktada öne çıkan etkenlerden.

Phelps gibi yüzmenin formülü 11
11/20

Etki edilebilir en büyük değişken ise sürtünme katsayısı. Sürtünme katsayısında yüzücünün yapısı ve yüzeyi oldukça önem arz eder. Sürtünmeyi biraz bile azaltabilmek, yüzücülere aynı enerjiyle daha fazla hız sağlayabilir. Hız ise şampiyonları belirleyen en büyük değişkendir.

Formüller üzerinden bunu hesaplamak gerekirse 1 olarak kabul ettiğimiz sürtünme katsayısı (C) 0.99'a indirildiğinde genel sonuçta ne gibi bir değişiklik meydana gelir.

Phelps gibi yüzmenin formülü 12
12/20

Bu noktada yapılan iş, sürtünme kuvvetinin gidilen mesafeye çarpılmasına eşittir ama eğer gidilen mesafeyi, zamana böldüğünüzde yüzücünün hızını elde edersiniz.

Yani bir yüzücü 100 metreyi 100 saniyede yüzüyorsa hızı saniyede bir metredir. Tabi profesyonel yüzücülerin hızları çok daha fazladır

Phelps gibi yüzmenin formülü 13
13/20

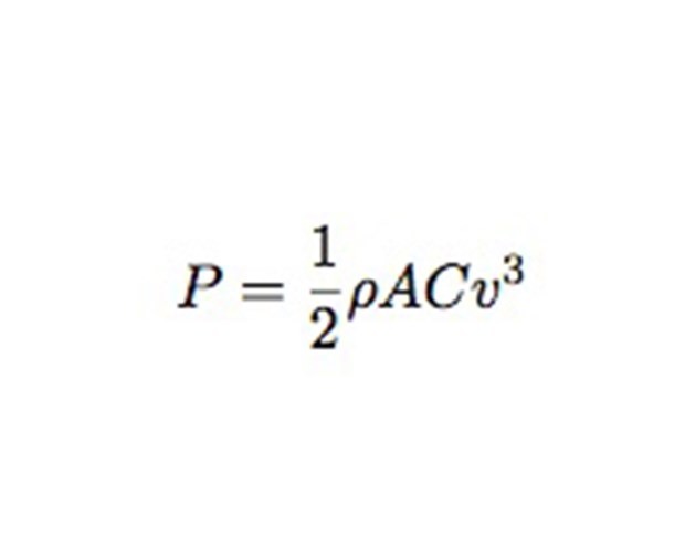
Daha sonra formüle sürtünme kuvvetini eklediğinizde bir kaç adım sonra resimdeki formülü elde edersiniz.

Phelps gibi yüzmenin formülü 14
14/20

Matematiğin sağladığı yer değiştirme formüllerini kullanarak denklemi yeniden tanımladığımızda resimdeki denkleme ulaşırız.

Bu durumda soruyu tekrarlamak gerekirse sürtünme kuvvetini 1'den 0.99'a düşürdüğümüzde ne gibi bir sonuç elde ederiz.

Phelps gibi yüzmenin formülü 15
15/20

Sürtünme katsayısındaki yüzde 1 oranında bir azalma hızı yüzde 0.34 oranında arttırır. Bu hız artışı oldukça önemsiz gözükebilir

Phelps gibi yüzmenin formülü 16
16/20

Örneğin serbest yüzmede 1.53.36'yla altın madalya kazanan Michael Phelps en yakın rakibi Masato Sakai'ye sadece 4 salise fark atabilmişti.

Phelps gibi yüzmenin formülü 17
17/20

Peki Sakai'nin hızını yüzde 0.34 arttırdığımızda yarışın sonucu nasıl değişecekti? Yarışı 1.53.40'la bitiren Japon yüzücünün hızı saniyede 1.7595 metreydi bu hızı yüzde 0.34 oranında artırdığımızda Sakai'nin hızı saniyede 1.7655 metreye yükseliyordu.

Sakai yarışı bu hızla tamamlayabilseydi bitirme süresi 1.53.28 olacaktı ve toplamda 12 salise kazanarak 8 salise farkla olimpiyatlarda altın madalya kürsünde Phelps'in yerini alacaktı.

Phelps gibi yüzmenin formülü 18
18/20

Peki olimpiyat yüzücüleri sürtünme katsayılarını azaltmak için neler yapıyorlar? 

Phelps gibi yüzmenin formülü 19
19/20

Yarışmacılar öncelikle vücutlarını tamamıyla traş ediyor, daha önceden sürtünmeyi azaltıcı kıyafetler giyiyorlardı ancak 2010'dan sonra bunların tamamı yasaklandı.

Phelps gibi yüzmenin formülü 20
20/20
Bunlar da İlginizi Çekebilir
Evdeki gizli tehlike! Sevdiğiniz çiçek kedinizin sonunu getirebilir
Evdeki gizli tehlike!
Ayak kokusu kabusunun gizli sorumlusu! Çorabınızdaki tehlikeye dikkat
Ayak kokusu kabusunun gizli sorumlusu!
Mükemmel demin sırrı çözüldü! Tavşan kanı çay için uygulanması gereken altın kural: Bu kez ne su ne de suyun derecesi
Mükemmel demin sırrı çözüldü!
Trafik kurallarını ihlal edenler için yolun sonu göründü!
Trafik kurallarını ihlal edenler için yolun sonu göründü!
Mutfaktaki görünmez tehlike! Isıtıldığında toksik etki yaratan 9 temel besin
Isıtıldığında toksik etki yaratan 9 temel besin
İskenderun’da bir "Anadol" efsanesi: Dededen toruna 48 yıllık sadakat!
İskenderun’da bir "Anadol" efsanesi
Tutulmalar, ağrılar için geceden sürün sabaha etkisini gösterecek! Doğanın botoksu: Hem ağrı kesiyor hem gençleştiriyor
Doğanın botoksu: Hem ağrı kesiyor hem gençleştiriyor


©Copyright 2019
Tüm Hakları Saklıdır
KARAR SON DAKİKA
DMCA.com Protection Status
  • HAKKIMIZDA
  • İLETİŞİM
  • KÜNYE
  • YAYIN İLKELERİ
  • KULLANIM ŞARTLARI
  • GIZLILIK BİLDİRİMİ
  • VERİ POLİTİKASI
  • HUKUK AYKIRILIK BİLDİRİMİ
KATEGORİLER
  • Güncel
    • Politika
    • Üçüncü Syfa
    • Türkiye
    • Çevre
    • Eğitim
  • Dünya
    • Orta Doğu
    • Amerika
    • Avrupa
    • Asya
    • Afrika
  • Ekonomi
    • Piyasa
    • Emlak
    • Otomotiv
    • Enerji
    • Sosyal Güvenlik
    • Şirketler
  • Spor
    • Futbol
    • Basketbol
    • Voleybol
    • Atletizm
    • Motor Sporları
    • Diğer
  • Hayat
    • Diziler
    • Magazin
    • Sağlık
    • Kültür Sanat
    • Eğlence
  • Teknoloji
    • Mobil
    • İnternet
    • Sosyal Medya
    • Yazılım
    • Bilim
  • Karar Video
    • Gündem
    • Dizi
    • Sinema
    • Komik
    • İlginç
    • Teknoloji
    • Spor
  • Foto Galeri
    • Hayat
    • Capsler
    • Spor
    • Teknoloji
    • Kültür ve Sanat
    • Gündem
    • Ekonomi
  • Görüşler
  • Yazarlar
SERVİSLER
  • Hava Durumu
  • Namaz Vakitleri
  • Puan Tablosu
  • Dolar Kaç TL
  • Şehir Haberleri
  • Ramazan İmsakiyesi
Google Play Uygulamamız
Apple Store Uygulamamız
Dünyadan en son haberler, Türkiye'den son dakika gelişmeleri, günün öne çıkan gündem haberleri, dünya ekonomi piyasalarından flaş haberler, en yeni spor haberleri ve magazin dünyasından son olaylar Karar.com’da
YUKARI
KARAR
  • Anasayfa
  • Son Dakika
  • Yazarlar
  • Foto Galeri
  • Web Tv
  • Hava Durumu
  • Güncel
  • Dünya
  • Ekonomi
  • Kripto Para
  • Spor
  • Hayat
  • Karar Video
  • Foto Galeri
  • Görüşler
  • Resmi İlanlar
  • Kültür Sanat
  • Şehir Haberleri
  • Yemek Tarifleri
  • Sağlık
  • Teknoloji
  • Karar Nedir
  • Karar Biyografi
  • Kurumsal
  • Künye
  • İletişim
  • Gizlilik İlkeleri
  • Çerez Politikası
  • Kullanım Şartları
© Copyright 2015 KARAR