DNA, bir canlının büyümesi, yaşaması ve üremesi için gerekli olan tüm genetik kodu içeren molekülün adıdır. Peki 20. yüzyılın en büyük keşiflerinden biri olan bu önemli yapıyı gerçekten ne kadar tanıyoruz?
İşte işin uzmanı değilseniz daha önce hiç duymadığınız 18 ilginç bilgi...
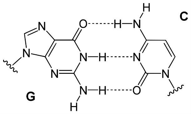
1. DNA, yaşayan tüm organizmalarda bulunur ve açılımı "deoksiribonükleik asit"tir.
