04 Nisan 2026 Cumartesi
Altın 6495.18 %2.16
BIST 12433.5 %0,39
Dolar 44.3489 %0
Euro 51.3612 %0.34
KARAR
13°
İstanbul
Çok bulutlu
  • Güncel
  • Yazarlar
  • Dünya
  • Ekonomi
  • Kripto Para
  • Spor
  • Hayat
  • Karar Video
  • Görüşler
  • Resmi İlanlar
Foto Galeri
Hayat
Capsler
Spor
Teknoloji
Nostalji
Gündem
Ekonomi
Kültür Ve Sanat
SON DAKİKA :
CHP'li Yavuzyılmaz: Tasarruf yapsanız da AK Parti’nin zam duvarına çarpıyorsunuz
ABD ordusundaki İran depremine üst düzey tepki: Savaşın ortasında bu bir delilik
İstanbul'un göbeğinde inanılmaz olay: Tarihi binanın içine define tüneli kazdılar
Annesinin cenaze törenine katılmayan Mehmet Ali Erbil’den açıklama: Maddi manevi elimden gelen her şeyi yaptım
Ankaralılara doğalgazda vergili 'kademe' şoku: 1 metreküp gazın fiyatı 25 lirayı aştı
Cezaevindeki Esra Işık’tan mesaj: Akbelen, güzel memleketime emanet, biz kazanacağız
Türkiye'de kuduz alarmı: 3 ilde büyükbaş hayvan ölümleri
İstanbul’da otel odasında şüpheli ölüm: Genç kadın hayatını kaybetti
Van'da korkutan deprem
Meteoroloji uyardı: 13 ilde çöl tozu alarmı
  1. Anasayfa
  2. Foto Galeri
  3. Ekonomi
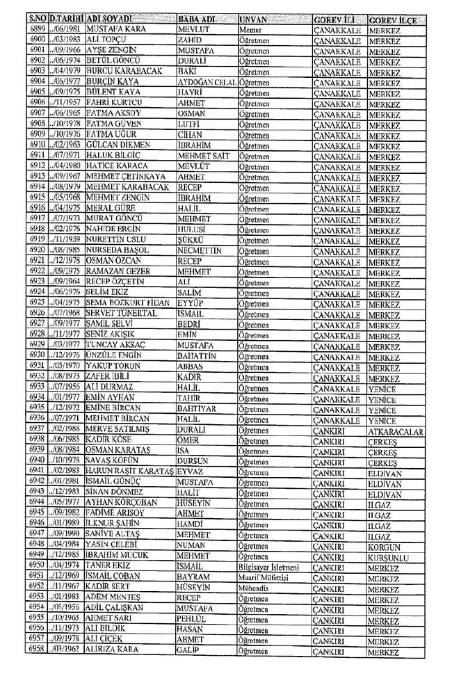
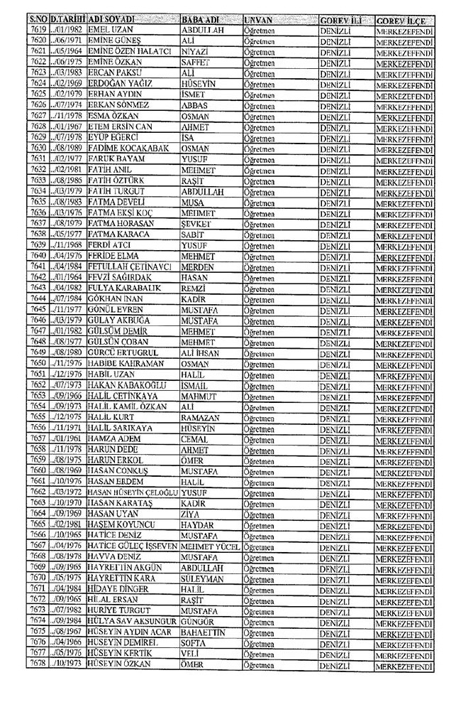
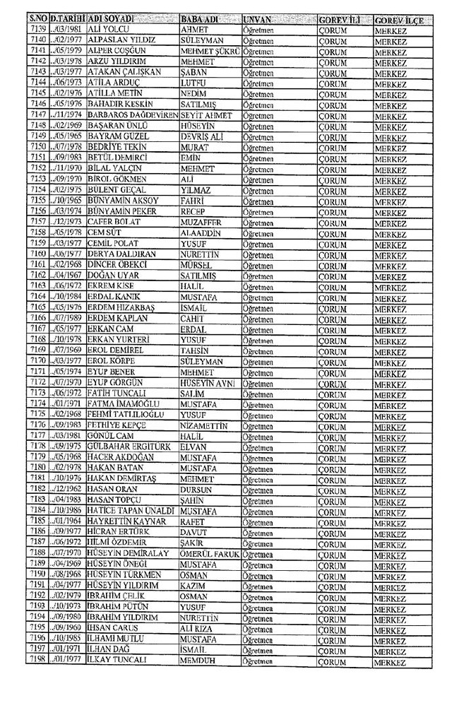
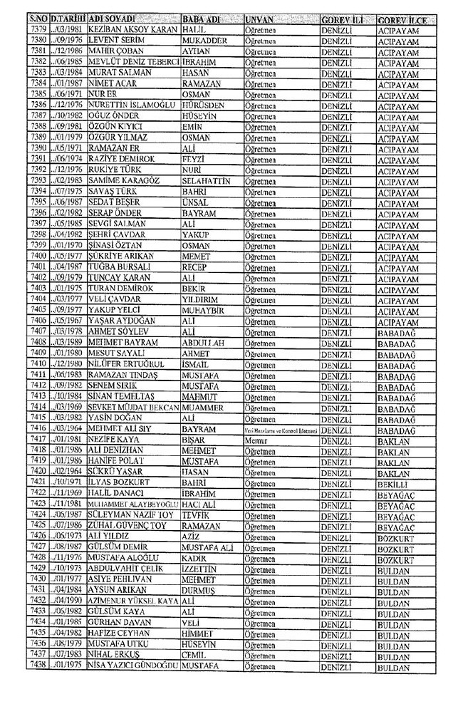
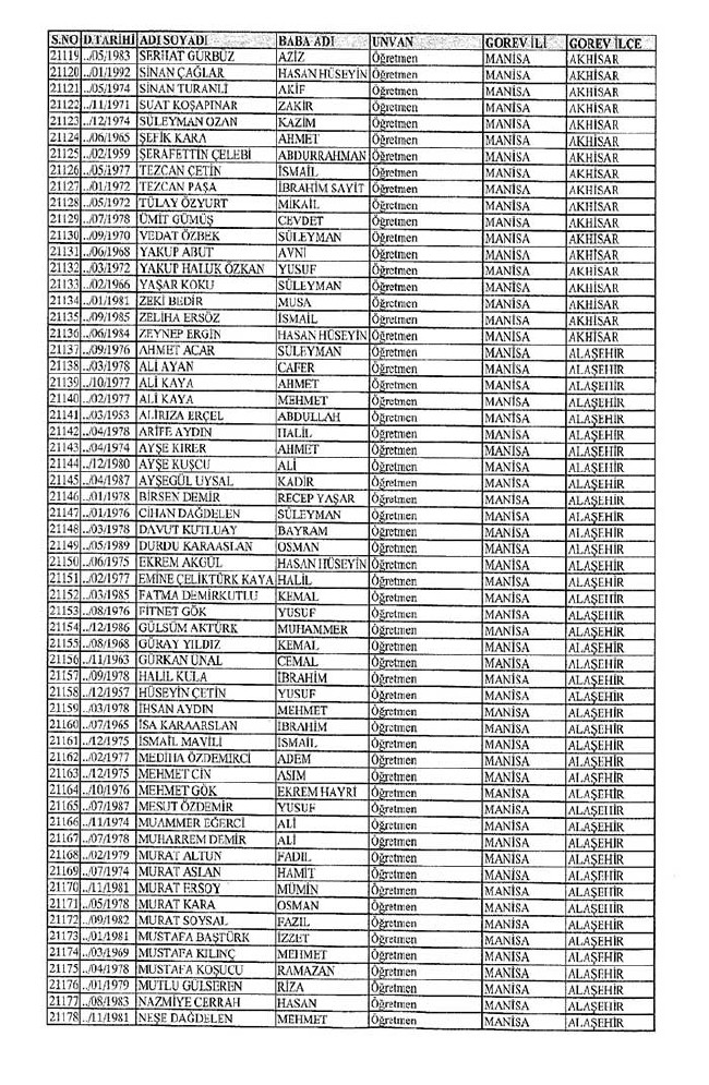
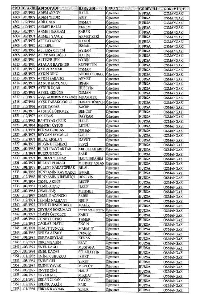
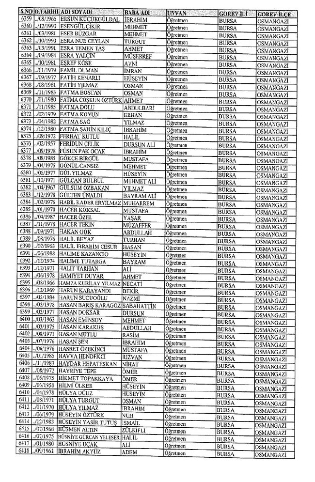
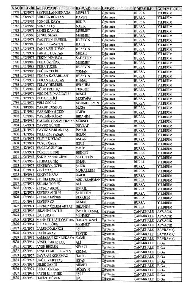
  4. İl il ihraç edilen öğretmenlerin tam listesi 2 - 672 sayılı KHK
02/09/2016 09:56

İl il ihraç edilen öğretmenlerin tam listesi 2 - 672 sayılı KHK

672 sayılı Kanun Hükmünde Kararname ile devlet kurumlarındaki FETÖ'cü yapılanmaya bir darbe daha indirildi. Milli Eğitim Bakanlığı'nda 28.163 öğretmen ihraç edildi. FETÖ'nün en fazla yuvalandığı MEB'te ihraç edilen öğretmenlerin il il tam listesi 2 şöyle: NOT: Galerinin son fotoğrafında yer alan linke tıklayarak bir diğer ihraç listesine kolaylıkla geçebilirsiniz...

İl il ihraç edilen öğretmenlerin tam listesi 2 - 672 sayılı KHK 1
1/60
İl il ihraç edilen öğretmenlerin tam listesi 2 - 672 sayılı KHK 2
2/60
İl il ihraç edilen öğretmenlerin tam listesi 2 - 672 sayılı KHK 3
3/60
İl il ihraç edilen öğretmenlerin tam listesi 2 - 672 sayılı KHK 4
4/60
İl il ihraç edilen öğretmenlerin tam listesi 2 - 672 sayılı KHK 5
5/60
İl il ihraç edilen öğretmenlerin tam listesi 2 - 672 sayılı KHK 6
6/60
İl il ihraç edilen öğretmenlerin tam listesi 2 - 672 sayılı KHK 7
7/60
İl il ihraç edilen öğretmenlerin tam listesi 2 - 672 sayılı KHK 8
8/60
İl il ihraç edilen öğretmenlerin tam listesi 2 - 672 sayılı KHK 9
9/60
İl il ihraç edilen öğretmenlerin tam listesi 2 - 672 sayılı KHK 10
10/60
İl il ihraç edilen öğretmenlerin tam listesi 2 - 672 sayılı KHK 11
11/60
İl il ihraç edilen öğretmenlerin tam listesi 2 - 672 sayılı KHK 12
12/60
İl il ihraç edilen öğretmenlerin tam listesi 2 - 672 sayılı KHK 13
13/60
İl il ihraç edilen öğretmenlerin tam listesi 2 - 672 sayılı KHK 14
14/60
İl il ihraç edilen öğretmenlerin tam listesi 2 - 672 sayılı KHK 15
15/60
İl il ihraç edilen öğretmenlerin tam listesi 2 - 672 sayılı KHK 16
16/60
İl il ihraç edilen öğretmenlerin tam listesi 2 - 672 sayılı KHK 17
17/60
İl il ihraç edilen öğretmenlerin tam listesi 2 - 672 sayılı KHK 18
18/60
İl il ihraç edilen öğretmenlerin tam listesi 2 - 672 sayılı KHK 19
19/60
İl il ihraç edilen öğretmenlerin tam listesi 2 - 672 sayılı KHK 20
20/60
İl il ihraç edilen öğretmenlerin tam listesi 2 - 672 sayılı KHK 21
21/60
İl il ihraç edilen öğretmenlerin tam listesi 2 - 672 sayılı KHK 22
22/60
İl il ihraç edilen öğretmenlerin tam listesi 2 - 672 sayılı KHK 23
23/60
İl il ihraç edilen öğretmenlerin tam listesi 2 - 672 sayılı KHK 24
24/60
İl il ihraç edilen öğretmenlerin tam listesi 2 - 672 sayılı KHK 25
25/60
İl il ihraç edilen öğretmenlerin tam listesi 2 - 672 sayılı KHK 26
26/60
İl il ihraç edilen öğretmenlerin tam listesi 2 - 672 sayılı KHK 27
27/60
İl il ihraç edilen öğretmenlerin tam listesi 2 - 672 sayılı KHK 28
28/60
İl il ihraç edilen öğretmenlerin tam listesi 2 - 672 sayılı KHK 29
29/60
İl il ihraç edilen öğretmenlerin tam listesi 2 - 672 sayılı KHK 30
30/60
İl il ihraç edilen öğretmenlerin tam listesi 2 - 672 sayılı KHK 31
31/60
İl il ihraç edilen öğretmenlerin tam listesi 2 - 672 sayılı KHK 32
32/60
İl il ihraç edilen öğretmenlerin tam listesi 2 - 672 sayılı KHK 33
33/60
İl il ihraç edilen öğretmenlerin tam listesi 2 - 672 sayılı KHK 34
34/60
İl il ihraç edilen öğretmenlerin tam listesi 2 - 672 sayılı KHK 35
35/60
İl il ihraç edilen öğretmenlerin tam listesi 2 - 672 sayılı KHK 36
36/60
İl il ihraç edilen öğretmenlerin tam listesi 2 - 672 sayılı KHK 37
37/60
İl il ihraç edilen öğretmenlerin tam listesi 2 - 672 sayılı KHK 38
38/60
İl il ihraç edilen öğretmenlerin tam listesi 2 - 672 sayılı KHK 39
39/60
İl il ihraç edilen öğretmenlerin tam listesi 2 - 672 sayılı KHK 40
40/60
İl il ihraç edilen öğretmenlerin tam listesi 2 - 672 sayılı KHK 41
41/60
İl il ihraç edilen öğretmenlerin tam listesi 2 - 672 sayılı KHK 42
42/60
İl il ihraç edilen öğretmenlerin tam listesi 2 - 672 sayılı KHK 43
43/60
İl il ihraç edilen öğretmenlerin tam listesi 2 - 672 sayılı KHK 44
44/60
İl il ihraç edilen öğretmenlerin tam listesi 2 - 672 sayılı KHK 45
45/60
İl il ihraç edilen öğretmenlerin tam listesi 2 - 672 sayılı KHK 46
46/60
İl il ihraç edilen öğretmenlerin tam listesi 2 - 672 sayılı KHK 47
47/60
İl il ihraç edilen öğretmenlerin tam listesi 2 - 672 sayılı KHK 48
48/60
İl il ihraç edilen öğretmenlerin tam listesi 2 - 672 sayılı KHK 49
49/60
İl il ihraç edilen öğretmenlerin tam listesi 2 - 672 sayılı KHK 50
50/60
İl il ihraç edilen öğretmenlerin tam listesi 2 - 672 sayılı KHK 51
51/60
İl il ihraç edilen öğretmenlerin tam listesi 2 - 672 sayılı KHK 52
52/60
İl il ihraç edilen öğretmenlerin tam listesi 2 - 672 sayılı KHK 53
53/60
İl il ihraç edilen öğretmenlerin tam listesi 2 - 672 sayılı KHK 54
54/60
İl il ihraç edilen öğretmenlerin tam listesi 2 - 672 sayılı KHK 55
55/60
İl il ihraç edilen öğretmenlerin tam listesi 2 - 672 sayılı KHK 56
56/60
İl il ihraç edilen öğretmenlerin tam listesi 2 - 672 sayılı KHK 57
57/60
İl il ihraç edilen öğretmenlerin tam listesi 2 - 672 sayılı KHK 58
58/60
İl il ihraç edilen öğretmenlerin tam listesi 2 - 672 sayılı KHK 59
59/60
İl il ihraç edilen öğretmenlerin tam listesi 2 - 672 sayılı KHK 60
60/60

İL İL MEB 3. İHRAÇ LİSTESİ İÇİN TIKLAYIN...

Bunlar da İlginizi Çekebilir
Hem tüplü hem öfkeli! 120 beygirlik yeni Sandero Stepway asfalta imzasını atıyor
Hem tüplü hem öfkeli!
Tesla'nın yeni modeli üretime başlıyor: Ne direksiyon var, ne de pedal
Tesla'nın yeni modeli üretime başlıyor: Ne direksiyon var, ne de pedal
İpe dizilen her ceviz, evin mutfak masrafı oluyor
İpe dizilen her ceviz, evin mutfak masrafı oluyor
Aydın’da Büyük Menderes taştı: Yollar ve tarlalar sular altında kaldı
Aydın’da Büyük Menderes taştı
Türkiye'nin 12. yüksek hızlı tren şehri Bursa oluyor
Türkiye'nin 12. yüksek hızlı tren şehri Bursa oluyor
Atatürk'ün arşivlerde saklı kalan nadir fotoğrafları satışta
Atatürk'ün arşivlerde saklı kalan nadir fotoğrafları satışta
Hobi olarak başladığı iş, Türkiye'nin yeni ihracat kapısı oldu
Hobi olarak başladığı iş, Türkiye'nin yeni ihracat kapısı oldu


©Copyright 2019
Tüm Hakları Saklıdır
KARAR SON DAKİKA
DMCA.com Protection Status
  • HAKKIMIZDA
  • İLETİŞİM
  • KÜNYE
  • YAYIN İLKELERİ
  • KULLANIM ŞARTLARI
  • GIZLILIK BİLDİRİMİ
  • VERİ POLİTİKASI
  • HUKUK AYKIRILIK BİLDİRİMİ
KATEGORİLER
  • Güncel
    • Politika
    • Üçüncü Syfa
    • Türkiye
    • Çevre
    • Eğitim
  • Dünya
    • Orta Doğu
    • Amerika
    • Avrupa
    • Asya
    • Afrika
  • Ekonomi
    • Piyasa
    • Emlak
    • Otomotiv
    • Enerji
    • Sosyal Güvenlik
    • Şirketler
  • Spor
    • Futbol
    • Basketbol
    • Voleybol
    • Atletizm
    • Motor Sporları
    • Diğer
  • Hayat
    • Diziler
    • Magazin
    • Sağlık
    • Kültür Sanat
    • Eğlence
  • Teknoloji
    • Mobil
    • İnternet
    • Sosyal Medya
    • Yazılım
    • Bilim
  • Karar Video
    • Gündem
    • Dizi
    • Sinema
    • Komik
    • İlginç
    • Teknoloji
    • Spor
  • Foto Galeri
    • Hayat
    • Capsler
    • Spor
    • Teknoloji
    • Kültür ve Sanat
    • Gündem
    • Ekonomi
  • Görüşler
  • Yazarlar
SERVİSLER
  • Hava Durumu
  • Namaz Vakitleri
  • Puan Tablosu
  • Dolar Kaç TL
  • Şehir Haberleri
  • Ramazan İmsakiyesi
Google Play Uygulamamız
Apple Store Uygulamamız
Dünyadan en son haberler, Türkiye'den son dakika gelişmeleri, günün öne çıkan gündem haberleri, dünya ekonomi piyasalarından flaş haberler, en yeni spor haberleri ve magazin dünyasından son olaylar Karar.com’da
YUKARI
KARAR
  • Anasayfa
  • Son Dakika
  • Yazarlar
  • Foto Galeri
  • Web Tv
  • Hava Durumu
  • Güncel
  • Dünya
  • Ekonomi
  • Kripto Para
  • Spor
  • Hayat
  • Karar Video
  • Foto Galeri
  • Görüşler
  • Resmi İlanlar
  • Kültür Sanat
  • Şehir Haberleri
  • Yemek Tarifleri
  • Sağlık
  • Bilim & Teknoloji
  • Karar Nedir
  • Karar Biyografi
  • Kurumsal
  • Künye
  • İletişim
  • Gizlilik İlkeleri
  • Çerez Politikası
  • Kullanım Şartları
© Copyright 2015 KARAR