21 Aralık 2025 Pazar
Altın 5972.467 %0.00
BIST 11341.9 %0,06
Dolar 42.7981 %0.00
Euro 50.141 %0.00
KARAR
12°
İstanbul
Hafif yağmur
  • Güncel
  • Yazarlar
  • Dünya
  • Ekonomi
  • Kripto Para
  • Spor
  • Hayat
  • Karar Video
  • Görüşler
  • Resmi İlanlar
Foto Galeri
Hayat
Capsler
Spor
Teknoloji
Nostalji
Gündem
Ekonomi
Kültür Ve Sanat
SON DAKİKA :
Eskişehir'de şüpheli saldırı! Bıçaklanıp darp edildi, yarı baygın halde evine gitti
CHP, DEM Parti ve TİP’ten 11. Yargı Paketi tepkisi: Deprem suçlarının affı olmaz
Depremin ardından dördüncü kış: Defne ve Antakya'da okullarda ısınma krizi
Nüfus verileri ortaya koydu: 1 milyondan fazla kişi aynı soyadı taşıyor
DEM Parti İmralı Heyeti yarın CHP ve EMEP ile görüşecek
Şehzadebaşı Camii'nde okudu: Bilal Erdoğan’dan Kur'an-ı Kerim tilaveti
Türkiye’de en çok üreten ikinci il! Yılın ilk hasadı tamamlandı: Coğrafi işaretli 'Aydın Enginarı'nın sofra yolculuğu başladı
Uçum’dan geçiş süreci mesajı: Kapsam sınırlı tutulmalı
Ortalık bir anda karıştı! Esenyurt’ta asker eğlencesi kavgayla bitti
Meclis'te bütçe görüşmeleri öncesi dikkat çeken anlar: Bahçeli ile Bakırhan tokalaşmadı
  1. Anasayfa
  2. Foto Galeri
  3. Gündem
  4. 689 nolu KHK ile ihraç edilenlerin tam listesi | 29 Nisan 2017
29/04/2017 20:17

689 nolu KHK ile ihraç edilenlerin tam listesi | 29 Nisan 2017

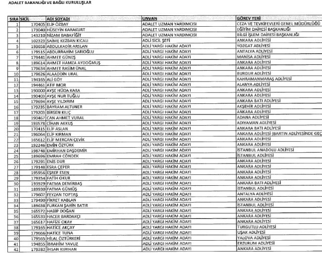
Resmi Gazete'de yayınlanan 689 nolu KHK ile ihraç edilenlerin tam listesi belli oldu. 29 Nisan 2017 tarihli KHK ile 3974 kamu personeli ihraç edildi. En fazla ihraçların yaşandığı kurum Adalet Bakanlığı oldu. Yargıtay'dan 19, YSK'dan 6, HSYK'dan 6 kişi ihraç edildi. Adalet Bakanlığı'nda görevli 1127 memurun görevine son verildi.

689 nolu KHK ile ihraç edilenlerin tam listesi | 29 Nisan 2017 1
1/134

FETÖ ile mücadele kapsamında 689 ve 690 nolu KHK'lar yayınlandı. OHAL kapsamında çıkarılan 689 nolu KHK ile 3974 kamu personali ihraç edildi. 

689 nolu KHK ile ihraç edilenlerin tam listesi | 29 Nisan 2017 2
2/134

Resmi Gazete'nin mükerrer sayısında yayımlanan 689 nolu sayılı KHK ile Jandarma Genel Komutanlığı'ndan 56, Milli Savunma Bakanlığı'ndan 36, Adalet Bakanlığı'ndan 1127, Yargıtay'dan 19, YSK'dan 6, HSYK'dan 6 memur ihraç edildi. 

689 nolu KHK ile ihraç edilenlerin tam listesi | 29 Nisan 2017 3
3/134

Daha önce Diyanet İşleri Başkanlığı'nda görevine son verilen 34 kişi ise göreve iade edildi. Toplam ihraç edilen memurların sayısı ise 3974 oldu. Göreve iade edilelenlerin sayısı da 731.

GÖREVE İADE EDİLENLERİN LİSTESİ İÇİN TIKLAYINIZ

689 nolu KHK ile ihraç edilenlerin tam listesi | 29 Nisan 2017 4
4/134

689 sayılı Kanun Hükmünde Kararname ile terör örgütlerine veya Milli Güvenlik Kurulunca devletin milli güvenliğine karşı faaliyette bulunduğuna karar verilen yapı, oluşum veya gruplara aidiyeti, iltisakı veya bunlarla irtibatı olan 18 vakıf, 14 dernek ve 13 sağlık kuruluşu kapatıldı. 5 derneğin ise yeniden açılmasına karar verildi. 

KAPATILAN DERNEK VE VAKIFLAR İLE SAĞLIK KURULUŞLARININ LİSTESİ İÇİN TIKLAYINIZ

689 nolu KHK ile ihraç edilenlerin tam listesi | 29 Nisan 2017 5
5/134
689 nolu KHK ile ihraç edilenlerin tam listesi | 29 Nisan 2017 6
6/134
689 nolu KHK ile ihraç edilenlerin tam listesi | 29 Nisan 2017 7
7/134
689 nolu KHK ile ihraç edilenlerin tam listesi | 29 Nisan 2017 8
8/134
689 nolu KHK ile ihraç edilenlerin tam listesi | 29 Nisan 2017 9
9/134
689 nolu KHK ile ihraç edilenlerin tam listesi | 29 Nisan 2017 10
10/134
689 nolu KHK ile ihraç edilenlerin tam listesi | 29 Nisan 2017 11
11/134
689 nolu KHK ile ihraç edilenlerin tam listesi | 29 Nisan 2017 12
12/134
689 nolu KHK ile ihraç edilenlerin tam listesi | 29 Nisan 2017 13
13/134
689 nolu KHK ile ihraç edilenlerin tam listesi | 29 Nisan 2017 14
14/134
689 nolu KHK ile ihraç edilenlerin tam listesi | 29 Nisan 2017 15
15/134
689 nolu KHK ile ihraç edilenlerin tam listesi | 29 Nisan 2017 16
16/134
689 nolu KHK ile ihraç edilenlerin tam listesi | 29 Nisan 2017 17
17/134
689 nolu KHK ile ihraç edilenlerin tam listesi | 29 Nisan 2017 18
18/134
689 nolu KHK ile ihraç edilenlerin tam listesi | 29 Nisan 2017 19
19/134
689 nolu KHK ile ihraç edilenlerin tam listesi | 29 Nisan 2017 20
20/134
689 nolu KHK ile ihraç edilenlerin tam listesi | 29 Nisan 2017 21
21/134
689 nolu KHK ile ihraç edilenlerin tam listesi | 29 Nisan 2017 22
22/134
689 nolu KHK ile ihraç edilenlerin tam listesi | 29 Nisan 2017 23
23/134
689 nolu KHK ile ihraç edilenlerin tam listesi | 29 Nisan 2017 24
24/134
689 nolu KHK ile ihraç edilenlerin tam listesi | 29 Nisan 2017 25
25/134
689 nolu KHK ile ihraç edilenlerin tam listesi | 29 Nisan 2017 26
26/134
689 nolu KHK ile ihraç edilenlerin tam listesi | 29 Nisan 2017 27
27/134
689 nolu KHK ile ihraç edilenlerin tam listesi | 29 Nisan 2017 28
28/134
689 nolu KHK ile ihraç edilenlerin tam listesi | 29 Nisan 2017 29
29/134
689 nolu KHK ile ihraç edilenlerin tam listesi | 29 Nisan 2017 30
30/134
689 nolu KHK ile ihraç edilenlerin tam listesi | 29 Nisan 2017 31
31/134
689 nolu KHK ile ihraç edilenlerin tam listesi | 29 Nisan 2017 32
32/134
689 nolu KHK ile ihraç edilenlerin tam listesi | 29 Nisan 2017 33
33/134
689 nolu KHK ile ihraç edilenlerin tam listesi | 29 Nisan 2017 34
34/134
689 nolu KHK ile ihraç edilenlerin tam listesi | 29 Nisan 2017 35
35/134
689 nolu KHK ile ihraç edilenlerin tam listesi | 29 Nisan 2017 36
36/134
689 nolu KHK ile ihraç edilenlerin tam listesi | 29 Nisan 2017 37
37/134
689 nolu KHK ile ihraç edilenlerin tam listesi | 29 Nisan 2017 38
38/134
689 nolu KHK ile ihraç edilenlerin tam listesi | 29 Nisan 2017 39
39/134
689 nolu KHK ile ihraç edilenlerin tam listesi | 29 Nisan 2017 40
40/134
689 nolu KHK ile ihraç edilenlerin tam listesi | 29 Nisan 2017 41
41/134
689 nolu KHK ile ihraç edilenlerin tam listesi | 29 Nisan 2017 42
42/134
689 nolu KHK ile ihraç edilenlerin tam listesi | 29 Nisan 2017 43
43/134
689 nolu KHK ile ihraç edilenlerin tam listesi | 29 Nisan 2017 44
44/134
689 nolu KHK ile ihraç edilenlerin tam listesi | 29 Nisan 2017 45
45/134
689 nolu KHK ile ihraç edilenlerin tam listesi | 29 Nisan 2017 46
46/134
689 nolu KHK ile ihraç edilenlerin tam listesi | 29 Nisan 2017 47
47/134
689 nolu KHK ile ihraç edilenlerin tam listesi | 29 Nisan 2017 48
48/134
689 nolu KHK ile ihraç edilenlerin tam listesi | 29 Nisan 2017 49
49/134
689 nolu KHK ile ihraç edilenlerin tam listesi | 29 Nisan 2017 50
50/134
689 nolu KHK ile ihraç edilenlerin tam listesi | 29 Nisan 2017 51
51/134
689 nolu KHK ile ihraç edilenlerin tam listesi | 29 Nisan 2017 52
52/134
689 nolu KHK ile ihraç edilenlerin tam listesi | 29 Nisan 2017 53
53/134
689 nolu KHK ile ihraç edilenlerin tam listesi | 29 Nisan 2017 54
54/134
689 nolu KHK ile ihraç edilenlerin tam listesi | 29 Nisan 2017 55
55/134
689 nolu KHK ile ihraç edilenlerin tam listesi | 29 Nisan 2017 56
56/134
689 nolu KHK ile ihraç edilenlerin tam listesi | 29 Nisan 2017 57
57/134
689 nolu KHK ile ihraç edilenlerin tam listesi | 29 Nisan 2017 58
58/134
689 nolu KHK ile ihraç edilenlerin tam listesi | 29 Nisan 2017 59
59/134
689 nolu KHK ile ihraç edilenlerin tam listesi | 29 Nisan 2017 60
60/134
689 nolu KHK ile ihraç edilenlerin tam listesi | 29 Nisan 2017 61
61/134
689 nolu KHK ile ihraç edilenlerin tam listesi | 29 Nisan 2017 62
62/134
689 nolu KHK ile ihraç edilenlerin tam listesi | 29 Nisan 2017 63
63/134
689 nolu KHK ile ihraç edilenlerin tam listesi | 29 Nisan 2017 64
64/134
689 nolu KHK ile ihraç edilenlerin tam listesi | 29 Nisan 2017 65
65/134
689 nolu KHK ile ihraç edilenlerin tam listesi | 29 Nisan 2017 66
66/134
689 nolu KHK ile ihraç edilenlerin tam listesi | 29 Nisan 2017 67
67/134
689 nolu KHK ile ihraç edilenlerin tam listesi | 29 Nisan 2017 68
68/134
689 nolu KHK ile ihraç edilenlerin tam listesi | 29 Nisan 2017 69
69/134
689 nolu KHK ile ihraç edilenlerin tam listesi | 29 Nisan 2017 70
70/134
689 nolu KHK ile ihraç edilenlerin tam listesi | 29 Nisan 2017 71
71/134
689 nolu KHK ile ihraç edilenlerin tam listesi | 29 Nisan 2017 72
72/134
689 nolu KHK ile ihraç edilenlerin tam listesi | 29 Nisan 2017 73
73/134
689 nolu KHK ile ihraç edilenlerin tam listesi | 29 Nisan 2017 74
74/134
689 nolu KHK ile ihraç edilenlerin tam listesi | 29 Nisan 2017 75
75/134
689 nolu KHK ile ihraç edilenlerin tam listesi | 29 Nisan 2017 76
76/134
689 nolu KHK ile ihraç edilenlerin tam listesi | 29 Nisan 2017 77
77/134
689 nolu KHK ile ihraç edilenlerin tam listesi | 29 Nisan 2017 78
78/134
689 nolu KHK ile ihraç edilenlerin tam listesi | 29 Nisan 2017 79
79/134
689 nolu KHK ile ihraç edilenlerin tam listesi | 29 Nisan 2017 80
80/134
689 nolu KHK ile ihraç edilenlerin tam listesi | 29 Nisan 2017 81
81/134
689 nolu KHK ile ihraç edilenlerin tam listesi | 29 Nisan 2017 82
82/134
689 nolu KHK ile ihraç edilenlerin tam listesi | 29 Nisan 2017 83
83/134
689 nolu KHK ile ihraç edilenlerin tam listesi | 29 Nisan 2017 84
84/134
689 nolu KHK ile ihraç edilenlerin tam listesi | 29 Nisan 2017 85
85/134
689 nolu KHK ile ihraç edilenlerin tam listesi | 29 Nisan 2017 86
86/134
689 nolu KHK ile ihraç edilenlerin tam listesi | 29 Nisan 2017 87
87/134
689 nolu KHK ile ihraç edilenlerin tam listesi | 29 Nisan 2017 88
88/134
689 nolu KHK ile ihraç edilenlerin tam listesi | 29 Nisan 2017 89
89/134
689 nolu KHK ile ihraç edilenlerin tam listesi | 29 Nisan 2017 90
90/134
689 nolu KHK ile ihraç edilenlerin tam listesi | 29 Nisan 2017 91
91/134
689 nolu KHK ile ihraç edilenlerin tam listesi | 29 Nisan 2017 92
92/134
689 nolu KHK ile ihraç edilenlerin tam listesi | 29 Nisan 2017 93
93/134
689 nolu KHK ile ihraç edilenlerin tam listesi | 29 Nisan 2017 94
94/134
689 nolu KHK ile ihraç edilenlerin tam listesi | 29 Nisan 2017 95
95/134
689 nolu KHK ile ihraç edilenlerin tam listesi | 29 Nisan 2017 96
96/134
689 nolu KHK ile ihraç edilenlerin tam listesi | 29 Nisan 2017 97
97/134
689 nolu KHK ile ihraç edilenlerin tam listesi | 29 Nisan 2017 98
98/134
689 nolu KHK ile ihraç edilenlerin tam listesi | 29 Nisan 2017 99
99/134
689 nolu KHK ile ihraç edilenlerin tam listesi | 29 Nisan 2017 100
100/134
689 nolu KHK ile ihraç edilenlerin tam listesi | 29 Nisan 2017 101
101/134
689 nolu KHK ile ihraç edilenlerin tam listesi | 29 Nisan 2017 102
102/134
689 nolu KHK ile ihraç edilenlerin tam listesi | 29 Nisan 2017 103
103/134
689 nolu KHK ile ihraç edilenlerin tam listesi | 29 Nisan 2017 104
104/134
689 nolu KHK ile ihraç edilenlerin tam listesi | 29 Nisan 2017 105
105/134
689 nolu KHK ile ihraç edilenlerin tam listesi | 29 Nisan 2017 106
106/134
689 nolu KHK ile ihraç edilenlerin tam listesi | 29 Nisan 2017 107
107/134
689 nolu KHK ile ihraç edilenlerin tam listesi | 29 Nisan 2017 108
108/134
689 nolu KHK ile ihraç edilenlerin tam listesi | 29 Nisan 2017 109
109/134
689 nolu KHK ile ihraç edilenlerin tam listesi | 29 Nisan 2017 110
110/134
689 nolu KHK ile ihraç edilenlerin tam listesi | 29 Nisan 2017 111
111/134
689 nolu KHK ile ihraç edilenlerin tam listesi | 29 Nisan 2017 112
112/134
689 nolu KHK ile ihraç edilenlerin tam listesi | 29 Nisan 2017 113
113/134
689 nolu KHK ile ihraç edilenlerin tam listesi | 29 Nisan 2017 114
114/134
689 nolu KHK ile ihraç edilenlerin tam listesi | 29 Nisan 2017 115
115/134
689 nolu KHK ile ihraç edilenlerin tam listesi | 29 Nisan 2017 116
116/134
689 nolu KHK ile ihraç edilenlerin tam listesi | 29 Nisan 2017 117
117/134
689 nolu KHK ile ihraç edilenlerin tam listesi | 29 Nisan 2017 118
118/134
689 nolu KHK ile ihraç edilenlerin tam listesi | 29 Nisan 2017 119
119/134
689 nolu KHK ile ihraç edilenlerin tam listesi | 29 Nisan 2017 120
120/134
689 nolu KHK ile ihraç edilenlerin tam listesi | 29 Nisan 2017 121
121/134
689 nolu KHK ile ihraç edilenlerin tam listesi | 29 Nisan 2017 122
122/134
689 nolu KHK ile ihraç edilenlerin tam listesi | 29 Nisan 2017 123
123/134
689 nolu KHK ile ihraç edilenlerin tam listesi | 29 Nisan 2017 124
124/134
689 nolu KHK ile ihraç edilenlerin tam listesi | 29 Nisan 2017 125
125/134
689 nolu KHK ile ihraç edilenlerin tam listesi | 29 Nisan 2017 126
126/134
689 nolu KHK ile ihraç edilenlerin tam listesi | 29 Nisan 2017 127
127/134
689 nolu KHK ile ihraç edilenlerin tam listesi | 29 Nisan 2017 128
128/134
689 nolu KHK ile ihraç edilenlerin tam listesi | 29 Nisan 2017 129
129/134
689 nolu KHK ile ihraç edilenlerin tam listesi | 29 Nisan 2017 130
130/134
689 nolu KHK ile ihraç edilenlerin tam listesi | 29 Nisan 2017 131
131/134
689 nolu KHK ile ihraç edilenlerin tam listesi | 29 Nisan 2017 132
132/134
689 nolu KHK ile ihraç edilenlerin tam listesi | 29 Nisan 2017 133
133/134
689 nolu KHK ile ihraç edilenlerin tam listesi | 29 Nisan 2017 134
134/134
Bunlar da İlginizi Çekebilir
Mutfaktaki görünmez tehlike! Isıtıldığında toksik etki yaratan 9 temel besin
Isıtıldığında toksik etki yaratan 9 temel besin
İskenderun’da bir "Anadol" efsanesi: Dededen toruna 48 yıllık sadakat!
İskenderun’da bir "Anadol" efsanesi
Tutulmalar, ağrılar için geceden sürün sabaha etkisini gösterecek! Doğanın botoksu: Hem ağrı kesiyor hem gençleştiriyor
Doğanın botoksu: Hem ağrı kesiyor hem gençleştiriyor
Şaşırtan pişirme sırrı! Kekin sönmesi yanlış bilgi çıktı: Fırın kapağını açıp bu dokunuşu yapın
Şaşırtan pişirme sırrı!
İETT'den çocuklara armağan: Eski otobüs malzemeleriyle oyun parkı yaptılar
Eski otobüs malzemeleriyle oyun parkı yaptılar
Gözden kaçan felaket: Burdur Gölü'nün yarısı yok oldu!
Gözden kaçan felaket: Burdur Gölü'nün yarısı yok oldu!
Dünyanın ilk bisikletli gezgininden şaşırtan 19. yüzyıl İstanbul tasviri!
Dünyanın ilk bisikletli gezgininden şaşırtan 19. yüzyıl İstanbul tasviri!


©Copyright 2019
Tüm Hakları Saklıdır
KARAR SON DAKİKA
DMCA.com Protection Status
  • HAKKIMIZDA
  • İLETİŞİM
  • KÜNYE
  • YAYIN İLKELERİ
  • KULLANIM ŞARTLARI
  • GIZLILIK BİLDİRİMİ
  • VERİ POLİTİKASI
  • HUKUK AYKIRILIK BİLDİRİMİ
KATEGORİLER
  • Güncel
    • Politika
    • Üçüncü Syfa
    • Türkiye
    • Çevre
    • Eğitim
  • Dünya
    • Orta Doğu
    • Amerika
    • Avrupa
    • Asya
    • Afrika
  • Ekonomi
    • Piyasa
    • Emlak
    • Otomotiv
    • Enerji
    • Sosyal Güvenlik
    • Şirketler
  • Spor
    • Futbol
    • Basketbol
    • Voleybol
    • Atletizm
    • Motor Sporları
    • Diğer
  • Hayat
    • Diziler
    • Magazin
    • Sağlık
    • Kültür Sanat
    • Eğlence
  • Teknoloji
    • Mobil
    • İnternet
    • Sosyal Medya
    • Yazılım
    • Bilim
  • Karar Video
    • Gündem
    • Dizi
    • Sinema
    • Komik
    • İlginç
    • Teknoloji
    • Spor
  • Foto Galeri
    • Hayat
    • Capsler
    • Spor
    • Teknoloji
    • Kültür ve Sanat
    • Gündem
    • Ekonomi
  • Görüşler
  • Yazarlar
SERVİSLER
  • Hava Durumu
  • Namaz Vakitleri
  • Puan Tablosu
  • Dolar Kaç TL
  • Şehir Haberleri
  • Ramazan İmsakiyesi
Google Play Uygulamamız
Apple Store Uygulamamız
Dünyadan en son haberler, Türkiye'den son dakika gelişmeleri, günün öne çıkan gündem haberleri, dünya ekonomi piyasalarından flaş haberler, en yeni spor haberleri ve magazin dünyasından son olaylar Karar.com’da
YUKARI
KARAR
  • Anasayfa
  • Son Dakika
  • Yazarlar
  • Foto Galeri
  • Web Tv
  • Hava Durumu
  • Güncel
  • Dünya
  • Ekonomi
  • Kripto Para
  • Spor
  • Hayat
  • Karar Video
  • Foto Galeri
  • Görüşler
  • Resmi İlanlar
  • Kültür Sanat
  • Şehir Haberleri
  • Yemek Tarifleri
  • Sağlık
  • Teknoloji
  • Karar Nedir
  • Karar Biyografi
  • Kurumsal
  • Künye
  • İletişim
  • Gizlilik İlkeleri
  • Çerez Politikası
  • Kullanım Şartları
© Copyright 2015 KARAR