CHP Zonguldak Milletvekili Deniz Yavuzyılmaz, sosyal medya hesabından yaptığı çarpıcı bir paylaşımla, konutların elektrik faturalarına 1 Şubat 2025'ten itibaren yansıtılan yüksek zamlara karşı verdikleri mücadelenin önemli bir zaferle sonuçlandığını duyurdu. Yavuzyılmaz, bir vatandaşın yaptığı başvuru üzerine Mersin İl Tüketici Hakem Heyeti'nin, "AK Parti’nin devasa elektrik faturası zammını ayıplı bulduğunu" ve haksız alınan zam tutarının vatandaşa faiziyle birlikte iadesine karar verdiğini açıkladı. Bu karar, benzer durumda olan milyonlarca vatandaş için emsal teşkil etme potansiyeli taşıyor.
"VATANDAŞ ZAM TUZAĞINA DÜŞÜRÜLMÜŞTÜ!"

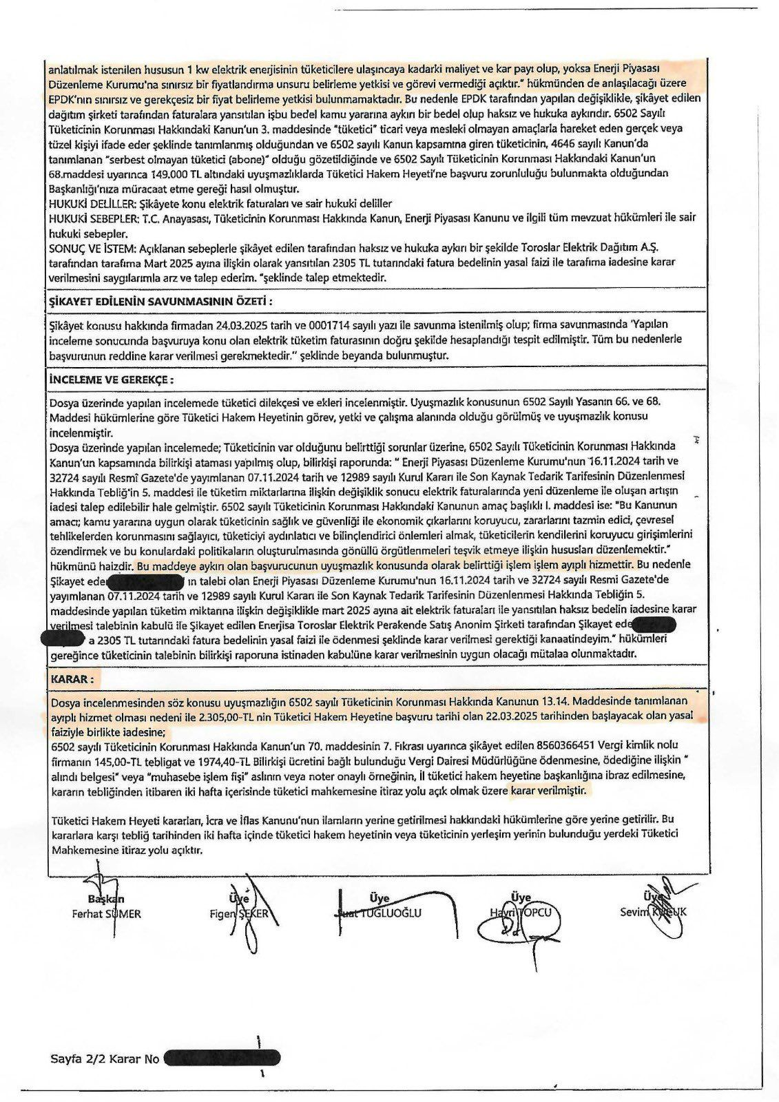
Deniz Yavuzyılmaz, "Ne olmuştu?" başlığıyla süreci hatırlattı: 2024 yılında yıllık elektrik tüketimi 5.000 kWh’ı geçen konut abonelerinin, 2025 yılı başından itibaren faturalarına %96 gibi devasa bir zam yansıtılmıştı. Ancak kritik nokta, bu zammın hangi tüketim miktarları için konutlara uygulanacağına dair bilgilendirmenin vatandaşlara çok geç, 7 Kasım 2024 tarihinde ilan edilmesiydi. Yavuzyılmaz, "Yani bilgilendirme, vatandaşın elektrik tüketim miktarlarıyla ilgili tedbir alması mümkün olamayacak şekilde geç yapılmıştı. AK Parti vatandaşı bilerek ve isteyerek zam tuzağına düşürmüştü!" ifadeleriyle duruma tepki göstermişti.
MÜCADELE SONUÇ VERDİ: MERSİN'DEN EMSAL KARAR!
CHP'li vekil, bu duruma karşı daha önce kamuoyuyla bir itiraz dilekçesi örneği paylaştıklarını ve vatandaşları Tüketici Hakem Heyetleri'ne başvurmaya çağırdıklarını hatırlattı. Bu çağrıya uyan bir vatandaşın, Elektrik Mühendisleri Odası’nın hazırladığı dilekçeyle 22 Mart 2025’de Mersin’de konuyla ilgili bir itiraz başvurusu yaptığını belirtti.
Yavuzyılmaz'ın paylaştığı belgelere göre, Mersin İl Tüketici Hakem Heyeti, 27 Mayıs 2025 tarihinde (Karar No: 8560202500004451) verdiği kararla başvurucuyu haklı buldu. Kararda, şikayet edilen Enerjisa Toroslar Perakende Satış A.Ş.'nin uyguladığı zammın "ayıplı" olduğu tespit edildi. Heyet, "ayıplı zam tutarı olan 2.305 TL’nin yasal faiziyle birlikte vatandaşa geri ödenmesine" hükmetti.
Deniz Yavuzyılmaz, bu kararın önemini şu sözlerle vurguladı: "Sonuç: AK Parti’nin devasa elektrik faturası zammı Tüketici Hakem Heyeti tarafından ayıplı bulundu! Ayıplı zam tutarının başvuru sahibi vatandaşa faiziyle birlikte geri ödenmesine karar verildi. Bireysel başvuru yapılarak fahiş fatura zamlarının iptal edilmesinin yolu açıldı."


TÜM MAĞDURLARA ÇAĞRI: "HAKKINIZI ARAYIN, PARANIZI GERİ ALIN!"
CHP Zonguldak Milletvekili Deniz Yavuzyılmaz, bu emsal kararın ardından zamdan mağdur olan tüm vatandaşlara seslenerek şu çağrıda bulundu: "Burada paylaştığım dilekçe örneği ve yüksek gelen elektrik faturalarınızla birlikte Tüketici Hakem Heyeti’ne bireysel başvuruda bulunabilirsiniz. Bu yolla haksız tahsil edilen fatura tutarlarının iadesini alabilirsiniz. Hakkımızı arayalım, itiraz hakkımızı kullanalım!"
Bu karar, yüksek elektrik faturaları nedeniyle zor durumda kalan milyonlarca abone için umut ışığı oldu. Vatandaşların bireysel başvurularla Tüketici Hakem Heyetleri üzerinden haklarını aramalarının önü açılırken, enerji şirketlerinin ve düzenleyici kurumların bu konudaki sonraki adımları merakla bekleniyor.
