[Karar]
EFKAN BUCAK
EDİRNE
Dünya sporunun en görkemli spor organizasyonu olan Tarihi Kırkpınar Yağlı Güreşleri’nin 655.buluşmasında altın kemeri takan isim Ankara Büyükşehir Belediyespor’dan Ünyeli Recep Kara oldu. Kara'ya mağlup olan Mehmet Yeşil Yeşil ikinci olurken Ali Gürbüz ve Şaban Yılmaz üçüncülüğü paylaştı.
Toplam 61 sporcunun katıldığı başpehlivanlık güreşlerinde çeyrek finalde ‘erken final’ yaşanırken Ali Gürbüz geçen yılın başpehlivanı Orhan Okulu’yu 70 dakika süren bir mücadelenin ardından uzatma bölümünde künde atarak yendi. İlginç bir şekilde diğer üç çeyrek final maçı yedişer dakika sürdü ve tüm galibiyetler yarım dakika içinde art arda geldi. Recep Kara Serhat Balcı’yı, Şaban Yılmaz Salih Erinç’i, Mehmet Yeşil Yeşil de İsmail Koç’u mağlup etti.

Kırkpınar Başpehlivan,Edirne Belediyesi’nce verilen 40 bin TL para ödülünün sahibi oldu.Trakya Birlik de dereceye giren tüm pehlivanlara 18 litrelik teneke yağ hediye etti / FOTO: AA
Yarı finalde Şaban Yılmaz’ı 6 dakikada dış kazık ters paça ile yenen Recep Kara toplam iki günde toplam 43 dakikada finale çıkarken diğer yarı final müsabakasında Mehmet Yeşil Yeşil 44 dakika sonunda Ali Gürbüz’ü altın puanla mağlup etti. Çeyrek finalde Orhan Okulu ile çok zorlu bir müsabaka yapıp sadece 50 dakika dinlenebilen Gürbüz, Yeşil karşısında etkisiz kaldı. Gürbüz-Okulu güreşi sonrası iki sporcunun destekçileri arasında tribünde kavga çıktı. Yumruklaşmaların yaşandığı kavga sonrası bazı seyirciler gözaltına alındı.

Gençlik ve Spor Bakanı Akif Çağatay Kılıç da Kırkpınar Yağlı Güreşleri'ni tribünden takip etti / FOTO: AA
ALTIN KEMER ŞEHİTLERE
Müsabakaları Gençlik ve Spor Bakanı Akif Çağatay Kılıç ve Edirne Belediye Başkanı Recep Gürkan da müsabakaları izledi. Bakan Kılıç yaptığı konuşmada er meydanının en kısa zamanda yenileneceği müjdesini verdi. Final güreşi öncesi her yıl olduğu gibi dev Türk Bayrağı açılırken bu yıl farklı olarak protokol sahaya inerek iki pehlivana başarılar diledi ve hatıra fotoğrafı çektirdi. Başpehlivan Recep Kara müsabaka sonrası yaptığı açıklamada kazandığı altın kemeri 15 Temmuz'da şehit olan asker, polis ve sivillere hediye ettiğini açıkladı.
BAŞPEHLİVAN ÖDÜLÜNÜ ALDI
Ağalık açık artırmasını 400 bin TL bedelle kazanan Seyfettin Selim üst üste üçüncü toplamda sekizinci kez ağa seçilerek Kırkpınar tarihine geçti. Öte yandan, şehitler adına güreştiğini açıklayan Samsunlu Şaban Yılmaz tüm tribünlerden büyük alkış aldı.

Recep Kara'nın Mehmet Yeşil Yeşil'i mağlup etmesiyle Kara'nın taraftarları büyük sevinç yaşadı / FOTO: AA
TRİBÜNLERİ ANTALYALILAR DOLDURDU
Güreşlerde tribünlerin Antalyalılar ve diğerleri şeklinde ayrıldığı görüldü. Antalya tribünleri Recep Kara’yı yuhalarken diğer tribünler tam aksine Kara’ya ve Orhan Okulu’ya destek verdi. Başaltında şampiyon Muğlalı Ali Yanatma olurken, ikinci Kemal Şahin, üçüncüler Emre Erkal ve Hakkı Aygün’le beraber başpehlivanlık kategorisine yükseldi.
Güreşlerde ‘Üç Büyükler’den Beşiktaş’ın da bir sporcusu başarısıyla dikkat çekti. Oğuzhan Çavdar tozkoparan boyda son sekize kalarak dikkat çekerken kürsüyü son anda kaçırdı.

Hasan Tuna / FOTO: Sosyal Medya
KIRKPINAR'A VEDA ETTİLER
40 yaşını geçen altı başpehlivan statü gereği bu yıl son kez Kırkpınar çayırında mücadele ettiler. 1976 doğumlu Mahmut Kavakçı, Murat Gençtürk, Nuri Zengin, Mustafa Başdemir, Murat Aydoğdu ve Ümit Balta'nın gelecek yıl da devam edebilmeleri için tek şans, son 16'ya girebilmeleriydi ancak bunu gerçekleştiremeyince Kırkpınar'da son kez kispet giydiler. Bu altı pehlivan 45 yaşlarını bitirinceye kadar 'piyasa' güreşlerindeyse mücadele edebilecekler.
1973 doğumlu Hasan Tuna ise 2002 yılında Kırkpınar başpehlivanı olduğu için 45 yaşına kadar Kırkpınar'da güreşme hakkına sahip. Bununla beraber Antalyalı sporcu son 16'ya kalıp bu turda geçen yılın üçüncüsü, kendisinden 9 yaş küçük Serhat Balcı'ya puanlamada mağlup olurken kalitesini bir kez daha gösterdi.

Mustafa Batu / FOTO: Sosyal Medya
MUSTAFA BATU'NUN REKORU İKİ GÜN SÜRDÜ
Bu yıl Kırkpınar’da güreşen 61 başpehlivan arasında en genci Antalyalı Mustafa Batu’ydu. Güreşlerden bir gün önce federasyon kararıyla başa alınan 1993 doğumlu sporcu, mevcut başpehlivanlar arasındaki en genç isim olarak çayıra çıktı. Batu ilk turda kendisi gibi bu yıl ilk kez başa çıkan hemşehrisi ve ‘kulüpdaşı’ Şahali Kurt’la eşleşirken sakatlanarak müsabakayı bırakmak zorunda kaldı. Batu’nun ‘en genç başpehlivan’ unvanıysa sadece 2 gün sürdü. Dün başaltında üçüncü olarak başa çıkan 1995 doğumlu Hakkı Aygün bu unvanın yeni sahibi oldu.

İsmail Balaban / FOTO: Sosyal Medya
İSMAİL BALABAN İSYAN ETTİ
Baş güreşlerinde üçüncü turda Salih Erinç'e elenen 2013 Kırkpınar Başpehlivanı İsmail Balaban hakemlere isyan etti. Müsabaka sonrası hakem odasının kapısına kadar gelen Antalyalı sporcu görüntülerin yeniden izlenmesini talep ederken bu isteği kabul edilmedi. Tekrar izleme talebinin kabul edilmemesine sinirlenen Balaban, "Eğer hakkımızı savunamayacaksak, bizi dinlemeyeceklerse bu federasyon niye var? Biz bunun için mi çalışıyoruz?" dedi.
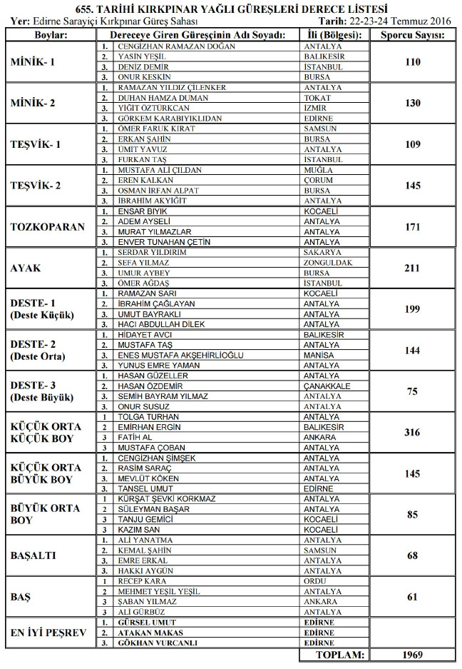
655. TARİHİ KIRKPINAR YAĞLI GÜREŞLERİ DERECE LİSTESİ

