Anadolu'da 13.5 milyon insanı etkileyen Kahramanmaraş ve Hatay merkezli depremler, akıllara 19.3 milyon nüfusun yaşadığı İstanbul'da beklenen Marmara depremini getirdi.
Sosyal paylaşım sitesi Ekşi Sözlük'te 'Forehand of Roger Federer' kullanıcı adlı bir yazar, yer bilimcilerin (jeologların) yöntemlerini kullanarak Marmara depreminin ne zaman olabileceğini tahmin etti
Yazarın Marmara depremi tarihini tahmin ettiği yazısı şöyle:
Arkadaşlar, bugün İstanbul depreminin ne zaman gerçekleşeceğini geçmişteki deprem verilerine göre tahmin etmeye çalışacağız. Kuzey Anadolu Fayı'nın Marmara Denizi altında kalan segmentindeki 0-2000 yılları arasındaki hareketlilik:

Adalar segmentindeki depremler (görselde Prince's Islands olarak geçiyor)
10 Eylül 1509 ~7.4
22 Mayıs 1766 ~7.2
İki deprem arasında 256 yıl 7 ay 13 gün var.
22 Mayıs 1766
14 Şubat 2023
İki deprem arasında 256 yıl 8 ay 23 gün var. Uzmanların depremin eli kulağında diye bağırmalarının sebebi bu. Uzmanlara göre adalar segmentindeki deprem frekansı 270 yılda bir. Bkz. kaynak [1]
Depremin yıllara göre gerçekleşme ihtimalini poisson dağılımı kullanarak hesaplayacağız. Baktım jeologlar da böyle yapıyor [1]. Ünlü Fransız matematikçi Simeon Poisson'un geliştirdiği bir dağılım. Ayrıca Fransızca 'balık' demek.
Poisson dağılımıyla ilgili anahtar noktalar:
1) Olay sabit aralıklarla gerçekleşmeli
2) Olaylar birbirini etkilememeli
İki madde de bizim için sıkıntılı:
1) Depremin gerçekleşme frekansı sabit değil. Yaklaşık olarak bir hesap yapıyoruz.
2) Olaylar birbirini etkiliyor. Fay kırıldıktan bir yıl sonra aynı büyüklükte bir depremin tekrar gerçekleşmesini tabii ki beklemiyoruz.
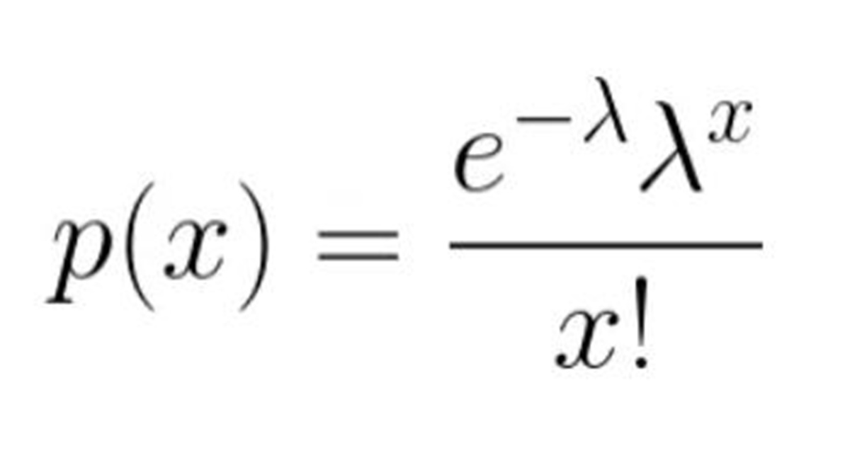
Poisson dağılımı formülü:

Lambda: Depremin gerçekleşme frekansı 1/270
x: Deprem sayısı. bunu 0 alacağız. Hiç deprem gerçekleşmeme ihtimalini hesaplayıp 1'den çıkaracağız.
e: e
Sonuçlar:
1766'dan 2150'ye kadar depremin gerçekleşme ihtimali:

Yakından bakalım, 2020-2040 arası:

1766'dan 2025'e kadar deprem olma ihtimalini yüzde 62 olarak hesapladık. 2050'ye kadar oran yüzde 70'e çıkıyor.
Not: Bu yazı bilimsel bir değer taşımamaktadır.
Kaynaklar:
[1] Recalculated Probability of m>7 Earthquakes Beneath The Sea of Marmara, Turkey agupubs.onlinelibrary.wiley.com/doi/full/10.1029/2003JB002667
[2] www.youtube.com/watch?v=dqw4w9wgxcq
